Saraswati Bahuddeshiya Samaj Shikshan Sanstha`s
About Us
General Information
Organisations
Staff
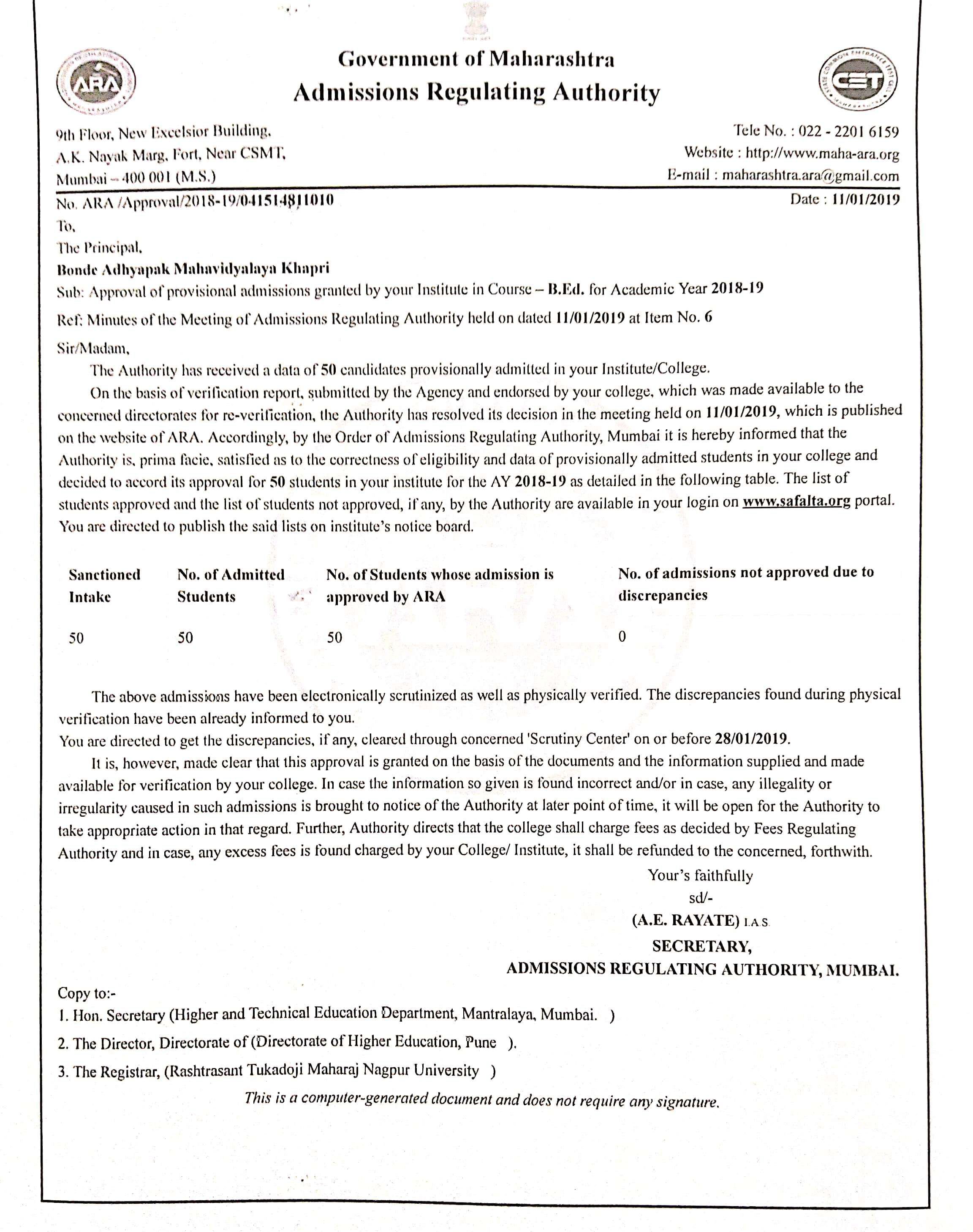
Student Details
Fee Structure
Managing Committees
Infrastructure
Instructional Facilities
Science Laboratory
Psychology Laboratory
Computer Lab
Affidavit
Building Map
Advertisement
Contact Us
Home
 
 
Student Details